Una red de desinformación rusa invirtió presuntamente 283.000 dólares para “inyectar” al menos 250 artículos en más de 20 medios de comunicación argentinos
Cuando el libertario Javier Milei llevaba pocos meses presidiendo Argentina, agentes rusos pusieron en marcha operaciones de desinformación e influencia política para desacreditar a su gobierno, según documentos filtrados a los que tuvo acceso openDemocracy.
Milei, figura emergente en el ecosistema de la extrema derecha mundial, asumió el cargo en diciembre de 2023 y se alineó enseguida con los intereses estadounidenses, al principio apoyando a Ucrania en la guerra contra Rusia. También fijó su sello: la “motosierra”, en referencia a las medidas para “destruir el Estado desde adentro”, y un discurso caracterizado por insultos a quien se le opusiera.
A medida que Argentina, una sociedad ya polarizada, se tensaba aún más, una red respaldada por los servicios de inteligencia exterior de Rusia y conocida internamente como la “Compañía”, trató de explotar ese clima y echar leña al fuego.
La información se encuentra en 76 documentos que obtuvo el medio africano The Continent y que fueron analizados y verificados por un consorcio periodístico que incluye a openDemocracy, Dossier Center e iStories, All Eyes on Wagner, Forbidden Stories y dos periodistas independientes de habla rusa.
Según los documentos, la Compañía se dedicó a contratar encuestas, informes sobre el complejo militar-industrial de Argentina y sus recursos petroleros en la Antártida, los partidos políticos y los sindicatos. También efectuó análisis de “riesgos y oportunidades”, perfiles de figuras públicas, “entrevistas a expertos”, “políticos, politólogos y economistas de la oposición”. Trazó, incluso, planes para apoyar a candidatos de la oposición en las elecciones legislativas de 2025.
Pero su actividad más intensa fue instalar “una red para la distribución de contenidos en los medios de comunicación argentinos y en el segmento local de las redes sociales”.
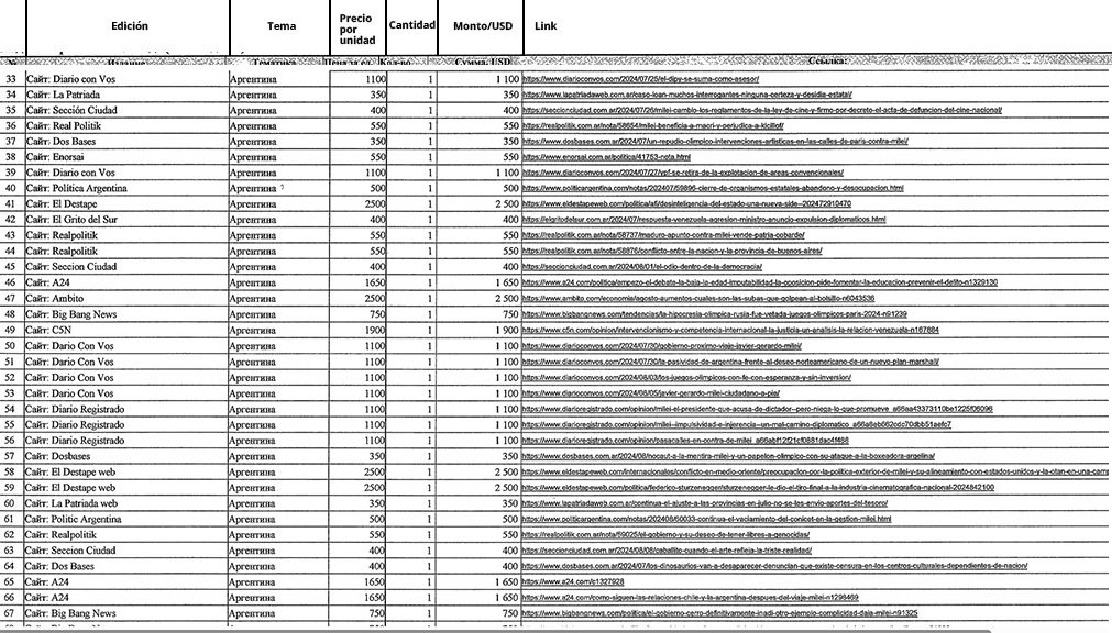
La investigación encontró registros de al menos 250 noticias, análisis y artículos de opinión publicados en más de 20 medios digitales entre junio y octubre de 2024, y presupuestados en los documentos rusos por 283.000 dólares.
Los documentos, presuntamente dirigidos a los encargados y financiadores de la Compañía, contienen intentos de exagerar el alcance de las operaciones, por ejemplo, duplicando en las planillas algunos de los artículos efectivamente publicados en los medios.
Los registros incluyen tarifas fijas por la publicación de contenidos en cada sitio web, desde 350 a 3.100 dólares por artículo. Pero no indican si el dinero fue a los medios, a los periodistas o a terceros. Es posible, también, que estos montos fueran inflados. Nuestra investigación no pudo verificar si se realizaron pagos ni a quién.
El contenido consistía principalmente en malas noticias y comentarios críticos sobre la situación económica de Argentina, el costo social y humano de las medidas de austeridad fiscal y el aumento de las tensiones diplomáticas con gobiernos progresistas de la región – nada que se destacara de la cobertura diaria.
Pero muchos artículos incluían referencias favorables a Rusia y contrarias a Estados Unidos. Había también distorsiones, exageraciones y falsas noticias.
Los medios presuntamente implicados presentan diferencias en cuanto a audiencias, recursos y líneas editoriales: Infobae, Realpolitik, Ámbito, C5N, Diario Con Vos, El Destape, Big Bang News, Diario Registrado, A24, Dos Bases, La Patriada Web, En Orsai, Sección Ciudad, El Ciudadano Web, Política Argentina, Tiempo Argentino, Grito del Sur, El Cronista, Osorno en Vivo (Chile), Infocielo, Data Clave, Agenda Urbana, Ciudadano Agro, Contraste MDP y En la Mira del Poder.
openDemocracy, Forbidden Stories y Filtraleaks, que colaboraron en esta investigación, contactaron a todos los medios y lograron entrevistar a editores, directores o periodistas de 15 de ellos.
Muchos pidieron no ser identificados. Todos negaron cualquier implicación con dinero o campañas de Rusia. La mayoría de las fuentes explicaron que los artículos habían sido ofrecidos gratuitamente por un tercero, descrito como una “agencia de prensa”, “consultora” o “intermediario”. Varios admitieron que se publicaron sin mucho control editorial.
Las dos fuentes dieron versiones distintas, pero parecidas, sobre el origen de los artículos y del dinero. En un caso, se trató de un grupo de empresarios preocupados por el estado de la industria nacional. En el otro, eran empresarios enojados porque el gobierno de Milei suspendió toda la obra pública.

Las entrevistas con los medios indican que la campaña rusa explotó una práctica cada vez más común en todo el mundo: las agencias de relaciones públicas ofrecen contenido gratis o pago a redacciones escasas de recursos para promocionar a sus clientes. Los estándares del periodismo exigen que esos arreglos se expliciten, pero muy a menudo no se hace.
“Es posible, pero no muy frecuente, que un redactor pueda colar publicaciones sin conocimiento de su editor. Y si es cierto que esta red pagó más de 250 artículos, entonces es muy improbable que ningún editor o editora haya prestado atención al tema”, dijo a openDemocracy el experto en medios e investigador del Consejo Nacional de Investigaciones Científicas y Técnicas (CONICET), Martín Becerra.
Autores ficticios
Muchos artículos no tenían autoría y, cuando aparecían firmas, los nombres eran desconocidos o inventados.
Según los documentos, el sitio web Realpolitik publicó 20 artículos presupuestados a 550 dólares cada uno, por un total de 11.000 dólares. Todos tenían autores, pero cuando openDemocracy preguntó por ellos al director del medio, Santiago Sautel, este dijo que no los conocía.
“Publicamos columnas de opinión todo el tiempo”, dijo Sautel. “El origen de estas en particular lo desconocemos. Sí damos fe de que no se trató de ninguna maniobra non sancta cocinada tras bambalinas en una sede diplomática. Y si algunas de estas publicaciones se orquestaron en las sombras bajo algún interés puntual, lo desconocemos”.
Una de esas firmas, Manuel Godsin, vinculada a una noticia sobre las universidades que se manifestaban contra los recortes presupuestarios de Milei, fue desenmascarada ya dos veces. Manuel Godsin aparece como doctorado por la Universidad de Bergen y miembro de un Centre for Political and Strategic Studies. Nada de esto es cierto, tampoco su cara, que corresponde a la foto de un ruso llamado Mikhail Malyarov. El año pasado, Africa Confidential lo expuso como un “perfil virtual” usado para propagar desinformación prorrusa en ese continente.
Una investigación de Code for Africa, publicada en marzo a partir de un reporte de OpenAI, afirma que es una “identidad ficticia”, creada para “blanquear narrativas rusas en los medios de comunicación convencionales” mediante contenido generado por ChatGPT.

Otras firmas fantasma identificadas en esta investigación son Gabriel di Taranto, Juan Carlos López y Marcelo Lopreiatto. Los tres figuran como autores en el sitio web de noticias Diario Registrado, al que los documentos filtrados le atribuyen la publicación de 26 notas por un valor de 28.600 dólares. El medio no respondió a nuestras solicitudes de entrevista.
Di Taranto aparece en 20 artículos en tres sitios web diferentes (Diario Registrado,C5N y Ámbito). Se lo describe como titular de un máster en comunicación política por la Universidad Nacional de Avellaneda. Sin embargo, cuando Forbidden Stories le preguntó al respecto, la universidad negó que existiera tal título y afirmó que Di Taranto no figuraba como estudiante ni en ningún otro rol. La imagen vinculada a su biografía fue generada con software de Nvidia, según un artículo de Metro publicado en 2018, y se ha utilizado en varios perfiles de redes sociales.
Ámbito, un diario financiero tradicional que pasó al formato digital en 2024, publicó ocho artículos valuados por los rusos en 20.000 dólares. Sus editores no respondieron a nuestros pedidos de entrevista.
La cara asociada a Juan Carlos López se puede encontrar en un banco de imágenes y, de nuevo, en perfiles de redes sociales en Facebook y LinkedIn, vinculada a diferentes nombres y actividades. Esta firma aparece en nueve artículos registrados en los documentos rusos y publicados en Diario Registrado.
Marcelo Lopreiatto firmó 12 artículos para los sitios de noticias C5N y Diario Registrado. Su rostro se remonta a un artículo de 2019 sobre una empresa que regalaba retratos generados por IA como promoción.
C5N, el sitio web del canal de noticias C5N TV, figura en los documentos rusos publicando 17 artículos por valor de 32.500 dólares, 14 de ellos firmados por Lopreiatto y Di Taranto. Sus editores se negaron a hacer comentarios.
A24.com, un digital de noticias del canal A24, parte del grupo América, publicó 10 artículos sin autoría o firmados como “Redacción A24”, por un presunto monto de 16.500 dólares. Los editores no contestaron nuestros pedidos de entrevista.
Diario Con Vos, un portal que perteneció al grupo de medios Radio Con Vos hasta 2024 y luego pasó a llamarse Es Nota, publicó 37 artículos a cambio, supuestamente, de 40.700 dólares. La mayoría estaban firmados. Su director no aceptó nuestro pedido de entrevista.
Otros digitales que publicaron muchos artículos supuestamente pagados son Big Bang News (16 notas por 12.000 dólares) y Dos Bases (18 notas por 6.300 dólares). Una fuente de Big Bang News negó cualquier relación con campañas o dinero de Rusia y aseguró que las notas fueron encargadas por los editores a sus periodistas. Dos Bases no contestó nuestras preguntas.
El Grito del Sur, un digital de izquierda, aparece en los documentos con seis notas por 2.400 dólares. En una respuesta por escrito, el editor en jefe Yair Cybel negó que hubieran aceptado dinero para publicarlas, pero aclaró que aceptan “toda información dispuesta a desacreditar al gobierno de Milei, con fundamento en la realidad objetiva”.
Y agregó: “Nuestro medio respalda fervientemente a la Federación Rusa en su conflicto con Ucrania, a Palestina en el genocidio al que lo somete Israel y a la Argentina en su reclamo por Malvinas. Nuestro comité editorial en plenitud anhela que las tropas rusas de Putin avancen hasta tomar Londres, y hará su humilde aporte comunicacional para que eso se concrete”.
Tambores falsos de guerra
El 23 de agosto de 2024, el sitio web El Destape publicó una noticia sobre tres argentinos detenidos por la policía chilena mientras transportaban un artefacto explosivo, un dron y “mapas electrónicos” de la región de Ñuble, cerca de la frontera binacional.
El artículo firmado por Fernanda Velázquez, cuya única huella digital es una página con sus reportajes en El Destape, era una ficción. El plan para fabricar esa historia figura en un documento filtrado. “Para crear tensión entre Argentina y Chile (13-29 de agosto), se introdujo una noticia sobre Milei enviando un grupo de sabotaje para organizar un ataque terrorista contra el gasoducto transandino en Chile con el fin de interrumpir un contrato de gas, en interés de EEUU”, dice el documento.
El Destape – un portal de noticias lanzado en 2014 que incluye una emisora de radio y un canal de televisión – aparece en los documentos rusos publicando 27 artículos por 67.500 dólares. Sus editores se negaron a responder a nuestras preguntas.
La historia de los falsos saboteadores fue recogida por dos digitales chilenos, Osorno en Vivo y La Razón. El editor de Osorno en Vivo, Juan Luis Rubilar, dijo a openDemocracy por escrito: “Alguien copió la nota y la puso en la web. No sabemos quién. No se recibió pago. Mil disculpas, si es falsa la podemos sacar de la web”. La Razón no contestó nuestras preguntas.
Los rusos ensayaron otros títulos escabrosos sobre Argentina y Chile – que estuvieron al borde de la guerra en 1978 – como “Mapa de la partición de Chile tras la guerra con Argentina” y “Se están reclutando soldados en Argentina para una guerra con Chile”. No encontramos registro de que algo así se hubiera publicado.
Otra línea de propaganda buscó explotar la extravagante relación de MIlei con sus perros. “Objetivo y descripción: Inyectar una noticia sobre Milei comprando cinco collares para perros de Cartier por valor de 64.000 dólares en EEUU”, dice uno de los documentos. No hay referencias sobre dónde se publicó esto, pero un artículo idéntico apareció en un sitio web de República Dominicana y en una publicación de Instagram.

¿Qué es la Compañía?
La Compañía es una entidad privatizada que desplegó en 2024 operaciones de propaganda e influencia política en más de 30 países de África y América del Sur.
Los documentos muestran vínculos claros entre la Compañía, el servicio de inteligencia exterior de Rusia (SVR) y el extinto grupo Wagner del fallecido señor de la guerra Yevgeny Prigozhin, tal como reveló openDemocracy en una investigación sobre Bolivia, donde agentes de la Compañía intentaron apuntalar al tambaleante gobierno del expresidente Luis Arce en Bolivia.
Uno de los 17 excontratistas de Wagner que siguieron vinculados a la Compañía es Alexey Evgenievich Shilov, quien coordinó las acciones en Argentina. “Organizó y llevó a cabo una operación sociopolítica para desacreditar la política proucraniana de los dirigentes de Argentina”, dice su biografía, uno de los documentos filtrados.
En octubre de 2024, los rusos tomaron nota de que las autoridades argentinas les seguían los pasos.
“A la luz del mayor control de los servicios especiales argentinos sobre la injerencia externa, los acuerdos alcanzados con las fuerzas de la oposición permitirán llevar a cabo más trabajo en el territorio del país utilizando fuerzas locales”, se lee en un plan de trabajo para intensificar los intercambios con políticos de la oposición.
Ocho meses después, el gobierno argentino informó que había detectado una presunta red de agentes rusos involucrada en “campañas de desinformación e influencia contra el Estado argentino”. Dos residentes rusos, Lev Konstantinovich Andriashvili y su esposa Irina Yakovenko, fueron señalados como líderes del grupo.
La senadora argentina Patricia Bullrich, que fue ministra de Seguridad de Milei hasta diciembre de 2025, dijo a Filtraleaks que a mediados de ese año fue advertida de actividades rusas de desinformación por la entonces Seguridad Nacional de Estados Unidos, Kristi Noem, que no mencionó a la Compañía, pero habló de pagos a medios y periodistas.
“Recibimos información fehaciente sobre una campaña de desinformación rusa en contra de nuestro gobierno”, dijo Bullrich.
Según una investigación del Foro de Periodismo Argentino (FOPEA), publicada en marzo de este año, Andriashvili y Yakovenko abandonaron Argentina rumbo a San Petersburgo días después de que el gobierno revelara sus nombres, pero regresaron en octubre de 2025. Al momento de publicar esta investigación, Andriashvili y Yakovenko siguen viviendo en Buenos Aires.
En una respuesta por escrito a openDemocracy, Andriashvili dijo: “Nunca hemos contactado a medios de comunicación, periodistas ni figuras políticas argentinas. Y no tenemos ninguna relación con la organización mencionada en su descripción. Tampoco se han presentado pruebas que respalden dichas acusaciones, simplemente porque no existen”.
En el negocio del caos
Cuando Milei llegó al gobierno, cambió la posición neutral ante la guerra entre Rusia y Ucrania de la administración anterior, que mantenía relaciones amistosas con Moscú.

Milei invitó al presidente Volodimir Zelensky a su investidura y se unió al Grupo de Contacto para la Defensa de Ucrania, a iniciativa del presidente estadounidense Joe Biden.
Sin embargo, después de que la embajada rusa expresara su “decepción” por la incorporación de Argentina al Grupo de Contacto, Buenos Aires aclaró que no prestaría ningún tipo de apoyo militar a Ucrania.
La campaña de la Compañía, titulada “Argentina no necesita una guerra ajena”, incluyó la realización de 89 graffitis en Buenos Aires, la colocación de pancartas en calles y en un partido de fútbol de la copa Libertadores, contenidos en redes sociales y artículos de columnistas argentinos, entrevistas con políticos y preparación de sus declaraciones “sobre el perjuicio que supone el apoyo a Ucrania para los intereses nacionales argentinos”.
En 2025, con Donald Trump de vuelta en la Casa Blanca y Milei totalmente alineado con él, Argentina se abstuvo en una votación de la ONU que reclamaba el retiro inmediato de Rusia de los territorios ucranianos invadidos. Washington votó en contra. Pero la guerra de Rusia contra Ucrania es un asunto marginal en la agenda pública argentina
En las elecciones de 2025, el partido de Milei obtuvo una victoria ajustada y ganó más bancas en el Congreso – pese a estar inmerso en escándalos de corrupción, y después de que Trump dejara en claro que un rescate de 20.000 millones de dólares para la economía argentina dependía de que el partido del presidente ganara los comicios.
Además de los 283.000 presupuestados por la Compañía para influir en los medios, en los registros de gastos encontramos 343.000 dólares repartidos en rubros como recopilación de información y organización del trabajo en el terreno.
“El resultado de esa inversión fue el opuesto al teóricamente pretendido… lo que me hace dudar acerca de sus verdaderos propósitos”, dijo el experto en medios Martín Becerra.
“El Wagner Group, y en general las actividades de Putin en desinformación e inteligencia consisten en crear caos y desorden, generando un panorama de descrédito de instituciones legitimadas en el pasado, medios y periodistas incluidos”, dijo. El objetivo es “pescar en río revuelto”.
Por tanto, las campañas de desinformación rusas no deben interpretarse como unidireccionales. “Pueden, en un determinado contexto, favorecer a alguien como Donald Trump y, en otro, dañar su reputación”.
Más notas de este tema en este enlace👉🏻 #LosTrollsSiempreFueronUstedes
Equipo de investigación de esta serie: Lydia Namubiru, Youri van der Weide, Sabrina Slipchenko, Emmanuel Freudenthal, Kiri Rupiah, Ira Dolinina, Léa Peruchon, Édouard Perrin, Katya Hakim, Diana Cariboni, Eloïse Layanand y Sofía Álvarez Jurado.
* Sofía Álvarez Jurado y Santiago O’Donnell contribuyeron a esta investigación
Medios asociados: openDemocracy, The Continent, All Eyes on Wagner/INPACT, Forbidden Stories, iStories, Dossier Center.
Fuente:original

Creadora de este diario libre de pauta y ad honorem · Paleolibertaria · Emprendedora · CABA, Argentina.
🌱 Si este contenido te aportó valor, podés apoyar nuestro proyecto con una donación voluntaria: matecito.co/potusamarillo o suscribirte mensualmente a nuestro newsletter semanal en potusamarillo.com/vip
Este sitio utiliza Grok para revisión de ortografía, gramática y estilo.